Kunci Jawaban
Kunci Jawaban Matematika Kelas 6 SD Halaman 16, Kurikulum Merdeka Bab 1 Pecahan dan Desimal
Berikut ini kunci jawaban soal-soal dari mata pelajaran Matematika kelas 6 SD halaman 16 Kurikulum Merdeka
Editor: Nafis Abdulhakim
TRIBUNTRENDS.COM - Berikut ini kunci jawaban soal-soal dari mata pelajaran Matematika kelas 6 SD.
Terdapat jawaban dari soal yang ada di halaman 16 dalam artikel ini.
Soal-soal tersebut terdapat pada Kurikulum Merdeka Bab 1 Pecahan dan Desimal.
Baca juga: Kunci Jawaban IPA Kelas 8 SMP Halaman 63, Kurikulum Merdeka Ayo Diskusi: Jurnal Aktivitas Kiki
Pada halaman 16, siswa diminta untuk mengerjakan soal Ayo Berefleksi.
Kunci Jawaban Matematika Kelas 6 Halaman 16 Kurikulum Merdeka
Dari aktivitas yang telah kalian lakukan pada subbab ini, jawablah pertanyaan berikut.
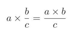
a. Bagaimana cara kalian mengalikan bilangan asli dengan pecahan?
Jawaban:
Mengalikan bilangan asli dengan pecahan berarti menggandakan banyaknya bagian pecahan sebanyak bilangan asli tersebut.
Dalam bentuk matematika dituliskan :
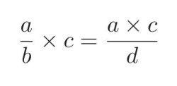
b. Bagaimana cara kalian mengalikan pecahan dengan bilangan asli?
Jawaban:
Mengalikan pecahan dengan bilangan asli berarti kalian ingin mengetahui banyaknya bagian tertentu dari suatu kumpulan atau himpunan objek.
*) Disclaimer:
- Artikel ini hanya ditujukan kepada orang tua untuk memandu proses belajar anak.
- Sebelum melihat kunci jawaban, siswa harus terlebih dahulu menjawabnya sendiri, setelah itu gunakan artikel ini untuk mengoreksi hasil pekerjaan siswa.
(TribunTrends.com/Tribunnews.com)
Sumber: Tribunnews.com
| Kunci Jawaban PAI Kelas 12 SMA Halaman 225: Penggunaan Filsafat Yunani dalam Ilmu Kalam |
|
|---|
| Kunci Jawaban PKN Kelas 11 Hal 157: Peran dan Tanggung Jawab Media Massa dalam Menjaga Keutuhan NKRI |
|
|---|
| Kunci Jawaban PAI Kelas 12 Halaman 276: Syarat Melakukan Ijtihad dan Contoh Far’u |
|
|---|
| Kunci Jawaban PKN Kelas 11 Halaman 158: Kelebihan Negara Kesatuan dengan Desentralisasi |
|
|---|
| Kunci Jawaban PAI Kelas 12 Halaman 250: Etos Kerja dan Motivasi Pelajar dalam Perspektif Agama Islam |
|
|---|
:quality(30):format(webp):focal(0.5x0.5:0.5x0.5)/trends/foto/bank/originals/Kunci-Jawaban-Matematika-Kelas-6-SD.jpg)